Deaf Plus: Teaching Deaf Children who are Dyslexic
Thursday 3 May 2007
Improving Deaf Children’s Literacy
Dr Diana Burman, University of Oxford
Prof Terezinha Nunes, Addy Gardner, Deborah Evans, Danny Bell, Dr Darcy Hallett
Literacy Learning
- Is challenging for those born profoundly deaf
- Written English represents the sounds of a language they have never heard
- Hearing children use internal speech which helps them with decoding because letters represent sounds
Morphemes in English
- English also represents morphemes – (units of meaning rather than units of sound)
- Some spellings appear irregular from their letter sounds, but are regular in their units of meaning; magician = magic + ian
- These units of meaning are called morphemes
- Morphemes have a fixed spelling
- Morphemes are related to grammar
‘er’ is used to make person words from verbs (read-reader)
‘ian’ is used to make person words from nouns (magic-magician) - Phonological awareness is important for literacy learning for deaf and hearing children
- Awareness of grammar and morphemes is also important for literacy learning for hearing and deaf children
- Analyzing words into morphemes helps children break long words into smaller units, accessible to visual coding - unbreakable = unbreakable
- Visual coding is used more by deaf than hearing children to remember spellings of words
- There is almost no research on deaf children’s use of the morphological route in spelling or writing stories
- Studies of the writing
of deaf adolescents and adult deaf students’ show:
Omission of function words (articles and prepositions)
Omission of inflections
Use of non-standard word order
Question 1:Are deaf children using morphemes?
Spelling assessment: Pretest example

Percentage of children spelling the final ‘s’?

from Burman, 2004
Question 2 Are morphemes only important for spelling or are they also important for communication?
A simple example
Dear Mr Brown
Can my friend come to the party too?
Aim
- To develop a teaching programme for deaf primary school children
- To improve their awareness of grammar and morphology in written English
Hypothesis
- If taught, deaf children could learn to use morphemes to spell English words,
- to decode English words in reading, and
- to help them plan writing because of the important connections between morphemes and English grammar.
The Teaching Programme targeted morphemes from 11 English classifications:
1. Plurals ‘s’ ‘windows’
2. Regular past tense ‘-ed’ ‘jumped’
3. 3rd person singular ‘Now Sophie walks’
4. Person words ‘-er’ ‘teacher’
5. Person words ‘-ist’ ‘artist’
6. Person words ‘-ian’ ‘magician’
7. Suffixes ‘-ful’ ‘painful’
8. ‘-less’ ‘painless’
9. ‘-ment’ ‘government’
10. ‘-ion’ ‘competition’
11. ‘-ness’ ‘tiredness’
Word order comparison
- British Sign Language (BSL): ‘Ben home walk’
- English: ‘Ben walks home’
- Nouns and Verbs were introduced
Noun / Verb
- Carl sits
- Beth writes
- Jase cuts
- Donna smiles
- Fred paints
Nouns / Verbs / Adjectives
We saw a …………..
in the town centre.
car big sing
I ……… in the swimming pool.
chair swim blue
This is a ……… bag.
watch smile heavy
1. Singular and Plural
- BSL = 1 dog; 4 dog
- English = 1 dog; 4 dogs


Tense to denote time -
2. Regular past tense- English = I walk now; I walked yesterday
3. Third person singular - BSL = I walk now; I walk yesterday


Third Person Singular and Regular Past Tense Bingo Game


Irregular Verbs

Reported speech
Name the person who…
4. ‘-er’
5. ‘-ist’
6. ‘-ian’
A person who reads is a reader
A person who makes art is an artist
A person who makes magic is a magician
Grace likes school. On Tuesday Grace writes in her science book. She likes science and she’s a good scientist / writer.
This is Sir Isaac Newton. He was a scientist and a mathematician. He liked science ... and he liked mathematics.
Last week Harry walked to school every morning. Harry walked past the teacher who teaches in school. The teacher greeted Harry. Harry walked past the cleaner who cleans in the classrooms. The cleaner waved to Harry. Harry walked past the swimmer who swims in the swimming pool. The swimmer dripped water on Harry’s book.
Penny said,
“I skate,
I’m a skater.”
My skates are sparkling white.
Jo said,
“I farm,
I’m a farmer ”
And he ploughed until late at night.
Suffixes that change word meanings in predictable ways:
7. ‘-ful’
8. ‘-less’
He had a cut. He was in pain. The cut was painful.
Then the cut got better. He had no pain. The cut was painless.

Suffixes
9. ‘-ment’
10. ‘-ion’
11. ‘-ness’

Story Books
On Tuesday, in spite of his tiredness, dad planted the seed in the garden, and later dad worried that pollution from the neighbours car would be harmful to the vegetable. On Sunday, to Dad’s satisfaction, he won the competition.
Design
- I piloted the Intervention with prelingually, profoundly deaf children (mean age: 10y1m)
- Our aim was to find if these ‘morpheme’ materials were effective if used by Teachers of the Deaf
- 2-group design: Control / Intervention Group
- ‘Waiting-list’ design: Control Group in Year 1 became the Intervention Group in Year 2.
- We used the Year 1 base-line results as the covariate.
Assessments
- Spelling
- Reading
- Writing
Word Spelling Assessment
| Name | ID |
| School | Date |
| Birthday | I am a boy / girl |
| Intervention / Control | Pre / Post / Delayed Post |
Oxford Word Spelling Assessment
1. These are w . . . . .
2. Now Sophie w . . . . home.
3. Yesterday this man j . . . .
over the babies.
4. A person who arranges flowers is a f . . . .
5. There are lots of c . . . .
6. Bob was ill for 7 weeks; he had a long
i . . . .
7. A person who dances is a d . . . .
8. Exhaust fumes can damage our e . . . . .
9. There are lots of b . . . .


Scoring of suffixes

Redundant morphemes

Evidence of increased use of morphemes in spelling

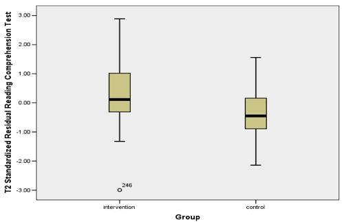
Post-test results of Reading Comprehension controlling for age, IQ and pre-test scores

Writing Assessment
National Curriculum Writing Assessment Level 1.
Pupils’ writing communicates meaning through simple words
and phrases.
In their reading of their writing, pupils begin to show awareness of how full stops are used.
Letters are usually clearly shaped and correctly orientated.
No writing assessments exist for measuring deaf BSL users' early attempts at English literacy.
257 children were invited to write about the same 4-picture sequence story at pre-test and post-test.
Level 1 (5% of children) Demonstrates an ability to:
- Write English alphabetical letters in a sequence that does not necessarily form legal English words (eg; ngantattgormgil)
- Begin to include spaces between letters to resemble English words (e.g. Karm.gd. Haigam!)
Level 2 (13.7% of children) Demonstrates an ability to:
- Spell some English words which may / may not be relevant to the situation (eg; car mommy Hat suN)
- Recognise which way up to place words in order to copy-write (eg; underlined words)
- Memorise some finger-spelling and their corresponding written letter (eg; girl Derss)
Level 3 (13.3% of children) Demonstrates an ability to:
- Write a sequence of relevant words (with some irrelevant words) that begin to form a noun–verb sequence in BSL or in English (eg; The man saw bag made playing holiday)
- Begin to include prepositions and pronouns (eg; He put case in car)
- Occasionally, but not systematically, include a definite/indefinite
article before a noun (eg; The car)
Level 4: (13.7% of children) Demonstrates ability to:
- Write English words in emergent English word order (eg; I went the car put the car the bag)
- Use subject-verb word order systematically (eg; the gril pack dres; I fold; she go)
- Include adjectives and connectives (eg; sunny day; because)
- Include some appropriate punctuation (eg; capital
letters and full-stops)
Level 5 (24.1% of children) Demonstrates ability to:
- Use emergent English word order (eg; The man is starting packing for holiday in Spain.)
- Include verb tenses – not necessarily accurately (eg; will fetch; is starting packing; he prepared)
- Include information to create a story (12am morning, I tried! (I tired).. Ask reception please give me keys…)
Level 6 (22.4% of children) Demonstrates ability to:
- Write in grammatical English – albeit with some errors (eg; He told his family’s thing so they did fold clothes in their bags.)
- Include punctuation (eg; speech, exclamation, and question marks – “ugh! their bags are too heavy!”)
- Engage the reader in an emergent story (eg; so they ready to go hoilday for long way. his mother brought food in the car.)
Level 7 (6.2% of children) Demonstrates ability to:
- Use mainly grammatically correct English sentences.
- Engage the reader in a developing story.
- Describe emotions of characters (eg; He shouted “Dad shall we go to the beach today”……Joe was excited, he ran to his dad’s car…)
Level 8 (1.7% of children) Demonstrates ability to:
- Write in grammatical English with only very occasional errors (eg; Richard girlfriend noticed…)
- Include colloquial language and subordinate clauses (eg; After breakfast Richard put all the stuff that he needed into the car).
- Sequence events to extend ideas logically (eg; There was a flat wheel on the car. After an hour they were ready to go).
Post-test results - Writing Bands controlling for age, IQ and pre-test scores (n=257)

Assessment of Deaf Children’s Writing
For use with
deaf children who can write alphabetic letters.
1. Include spaces between
groups of alphabetical letters to resemble words?
No evidence | beginning to | sometimes | often | systematically and
correctly
2. Use words relevant to the illustrations?
3. Put words in subject-verb word order?
4. Form noun and verb phrases?
5. Include appropriate prepositions?
6. Include appropriate pronouns?
7. Use the articles ‘the’ and ‘a’ appropriately?
8. Use connectives?
9. Use full-stops and capital letters correctly?
10. Use verb tenses?
11. Use ?, ! “ ” punctuation?
12. Include information beyond what is depicted?
13. Include character information?
14. Include colloquial language/expressions?
15. Include substitutions or omissions of words?
16. Include unnecessary words or morphemes?
Conclusion
of the effectiveness of the resources aimed at improving deaf children’s literacy through morphemes
The results show that the ‘morpheme’ resources had a significant effect on the deaf children’s
- Suffix spelling of English words,
- Reading comprehension, and
- Writing.
- Assessments and teaching materials can be downloaded from http://www.education.ox.ac.uk/ndcs/research.html
